Special Investigation: A late-night online search in the Saline Courthouse database by Suzi Parker uncovered a land deed between the Sheridan School District and a nonprofit corporation. That led South Arkansas Reckoning into a five-month investigation using the Arkansas Freedom of Information Act to obtain documents, examining public records in three Arkansas courthouses and investigating land deals. This story would not be told without the Arkansas FOIA.
The last word many taxpayers in the Sheridan School District want to hear is “millage.”
People are still discussing the last millage election in 2016, when voters approved a 3.8-mill increase to remodel some buildings and construct new campuses, build a basketball arena and generally modernize the school district.
Another millage could be on the horizon. In numerous Sheridan school board work session audio recordings over the last several months, the board has discussed a need to increase the millage.
But before the board asks taxpayers to vote on extending the debt or increasing millage, it's worth shedding light on a particular land transaction on U.S. 167, only 20 minutes from Little Rock, involving the Sheridan School District and a nonprofit called The Restoration Foundation.
A Gung-Ho Millage
“Vote Yes Make A Difference” was a common slogan around the Sheridan School District in 2016.
The “yes” was for a higher millage in the district, which spans two counties – Grant and Saline – and serves approximately 4,200 students.
One particular project would fund construction of a middle school in the unincorporated East End community in Saline County, only a few miles as the crow flies from Maple Creek Farms and Castle Grande – land deals that were part of the national scandal called Whitewater during the Clinton administration.
In 2015 voters rejected a millage increase when 55% said no to more taxes.
The next year, “Yes” proponents went into overdrive with another campaign, using social media and rural town hall meetings in Grapevine, Leola and Prattsville to gain support throughout the district. The group also focused heavily on voters in East End, part of the Sheridan School District since a 1949 consolidation.
Supporters created a Facebook community page called "Vote Yes Make A Difference" to inform voters about the importance of the Sept. 20 election. The theme? “Together We Are Unstoppable! We Are The YJ Nation.”
YJ Nation is a community of supporters built around the school’s mascot – The Yellowjacket – and the school uses the hashtag #YJNation for promotion.
The local weekly newspaper's editorial headline was “Say Yes to proposed millage increase.” Anonymous supporters placed a full-page ad in the paper touting why a millage was needed. Several local pastors also supported the tax increase, and churches held community meetings.
Jeff Lisenbey, a 22-year member of the Sheridan school board who is now board president, said in the December 2018 “Report Card," an Arkansas School Boards Association publication, that community members came to the board and said, “Let us take this to the community. Let us change perception. Let us as community members show the need that you have, and let us sell it to everyone else. As parents, let us sell it.”
Lisenbey added, “They would see something on social media that they knew was not true, they immediately responded back to it themselves to stop something that was untrue and address those issues one on one with whoever was making the complaint. And it just really came to the point where people started seeing the need.”
The 3.8-mill increase passed with almost 60% of the vote – 2,554 voted for the millage and 1,704 against, according to The Sheridan Headlight in its Wednesday, Sept. 28, 2016, edition. The millage increased from 32.2 mills to 36 mills.
Victory and Board Meetings
As a result of the initial late-night deed search in the Saline County Courthouse database, South Arkansas Reckoning began scouring years of Sheridan School District board minutes – the permanent record of school business – for the 5.28-acre land transaction.
To kick off its Oct. 10, 2016, board meeting, the school board wasted no time thanking supporters or taking action with the anticipated issuance of the millage bond.
The board recognized four “Make a Difference Parents/Volunteers” for their efforts in the “Make A Difference Campaign.”



The board at that time included members involved in construction, land developing, roofing materials sales and architectural and engineering businesses – the very trades needed to provide oversight for major construction projects and land transactions.
Still Searching for 5.28 Acres
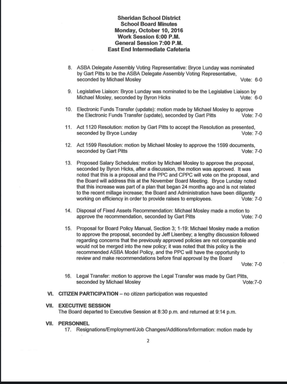
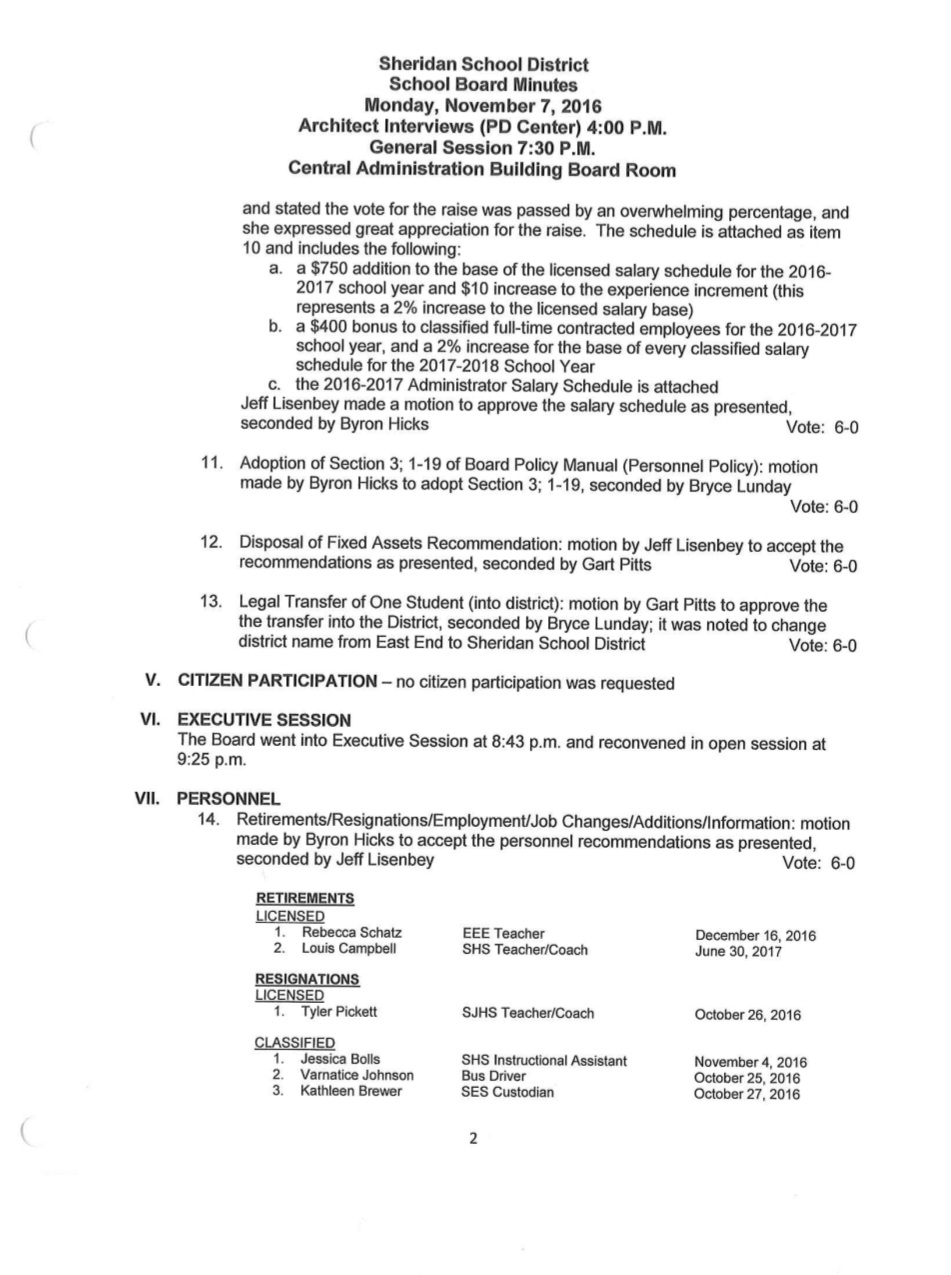
According to its Nov. 7, 2016, minutes, the board accepted the resolution for issuing the bond.



In a document released by Andy Mayberry, a former state representative and the Sheridan School District’s director of communications and recruitment since October 2021, the school opened a construction account for the bond on Nov. 17, 2016, at Peoples Bank in Sheridan.

On Dec. 12, 2016, the board held its regular monthly meeting in its Central Administration Building’s boardroom. The November minutes were approved. The financial report was approved. The board voted 7-0 to obtain the services of Nabholz Construction Services in Conway for “current and future projects.”



In the same meeting, Action Item 8 concerned a property at “407 North Arch Street.” The minutes noted “No action on this item.” Still, there was no reference to any other land transaction.
Under the Arkansas Freedom of Information Act, South Arkansas Reckoning obtained from the Sheridan School District the real estate contract and a survey concerning the 5.28 acres that initiated the investigation.
The property is located on the eastern side of the Sheridan School District’s property at East End Middle School. In 2004, the school district bought 78.27 acres, more or less, from SP Forests L.L.C., a division of International Paper, Co., according to a deed filed at the Saline County Courthouse.
In the 2016 real estate contract concerning the 5.28 acres, the Truman Ball and Associates real estate firm was listed as the “selling firm,” and the “buyer” was The Restoration Foundation.
According to the Arkansas secretary of state’s website, The Restoration Foundation is a domestic nonprofit corporation incorporated on Sept. 12, 2016. Its registered agent is Craig Manatt, CEO of Peoples Bank in Sheridan.
How Truman Ball and Associates entered the picture as the selling firm for a property owned by a public school is unclear. No information was released by the Sheridan School District showing it had contracted its own real estate agent. The real estate contract dated Dec. 20, 2016, indicates Truman Ball represented The Restoration Foundation.










Mayberry sent via email a round of requested documents that included the real estate contract.
The only mention of the Sheridan School District in the real estate contract is on page 9 in Section 20. The school is listed as “Other”. It also states: “Sheridan School District will have first right of refusal if this land is ever sold." That statement is handwritten into the document.
The real estate contract released in May was not signed by then Superintendent Jerrod Williams. After a follow-up email in August asking if all documents related to this transaction had been released, Mayberry sent more documents on August 31 including a signed copy of the real estate contract by Williams.


Following The Documents
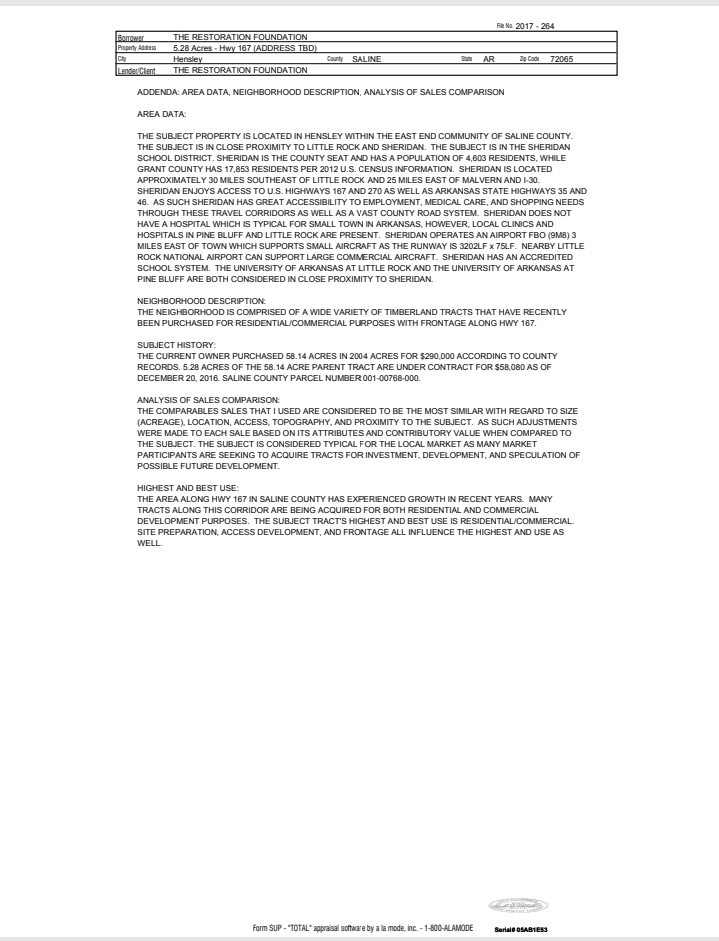
A document released from the Sheridan School District showed an appraisal dated Jan. 13, 2017, of the 5.28 acres on U.S. 167 in East End.
The appraiser wrote, “Highest and best use: The area along Hwy 167 in Saline County has experienced growth in recent years. Many tracts along this corridor are being acquired for both residential and commercial development purposes. The subject tracts highest and best use is residential/commercial site preparation, access development, and frontage all influence the highest and use as well.”









This is nine of 16 pages of the 5.28 acre appraisal.
On Jan. 15, 2017, at 9:47 p.m. then-Sheridan School District Superintendent Jerrod Williams received an email with the subject line Appraisal for SSD – GRACE from Tommy Jones, an ardent supporter of the millage and lead pastor of Grace Church.
“We will see you tomorrow night at the board meeting," Tommy Jones wrote.

The next day, Jan. 16, 2017, the school board held its regular meeting. All board members were present.

According to the minutes no citizen participation was requested, and the minutes show no member of the public speaking, including Tommy Jones, on any agenda items. The minutes are complete and signed by then-board president Jody Spann and board secretary Jeff Lisenbey.
Action Item 8 stated, “Proposal for sale of property: motion made by Gart Pitts to authorize Superintendent Williams to proceed with sale of property as presented, seconded by Jeff Lisenbey Vote 7-0.”
In the minutes the property location is unclear. Neither the board minutes or agendas mention the U.S. 167 real estate contract, its appraisal or a land transaction concerning 5.28 acres with The Restoration Foundation.
South Arkansas Reckoning discovered a one-line mention in The Sheridan Headlight’s coverage of the January school board meeting: “The board also approved the sale of five acres in East End to Grace Church. The land, valued at $53,000, was purchased for $58,080.”
An email exchange occurred Jan. 18, 2017, between Gale Jones, administrative assistant to Superintendent Williams, and Jay Bequette, the school’s attorney.
Gale Jones asked, “Mr. Williams requested that you review the attached real estate contract before we return it to the buyer.”
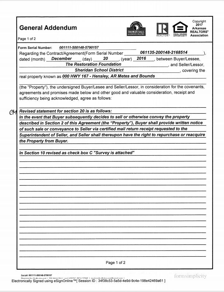
Bequette responded on Jan. 23, 2017, and instructed that a first right of refusal clause be placed in the land deed saying that "Seller shall thereupon have the right to repurchase or reacquire the property from the buyer at a price that (a) shall not exceed the price paid by buyer to seller for the property; and (b) shall not include any compensation to buyer for improvements made, if any, to the property by buyer.”

Later on Jan. 23, 2017, Gale Jones responded by email that the property appraised at $53,000. The selling price was $58,050. She also wrote: “We will request a revision in Section 20 as recommended.”
Bequette responded two hours later and wrote, “Gale, thank you for the information. This is excellent. Based on the appraisal, we have ample justification for the sale price. Thank you.”
Section 20 is found in the real estate contract dated Dec. 20, 2016, between The Restoration Foundation and Truman Ball. In the general addendum to the December real estate contract, Section 20 is revised without the complete language requested by the school’s attorney.


In the warranty deed’s bold portion, the school failed to enter the language recommended by the school’s attorney that would allow the district to repurchase the property at the selling price. The deed was executed Feb. 28, 2017, and filed March 2 in the Saline County Courthouse.



On Jan. 30, 2017, in an email released by Mayberry, Tommy Jones sent an email from his Grace Church email account to Gale Jones and Superintendent Williams. Tommy Jones also copied three other people on the email – Manatt, Buffie Howard with Truman Ball, and Tim Staley, who was connected to the foundation, according to The Restoration Foundation’s filings with the Arkansas Secretary of State.

Another Land Transaction
On July 3, 2018, Manatt sent an email to Superintendent Williams with an attached quitclaim deed to transfer the 5.28 acres purchased by The Restoration Foundation from the school district. The quitclaim deed would transfer the property from the foundation to the adjoining property owner Grace United Methodist Church, Inc.
“Jerrod, Attached is a quitclaim deed that will transfer the 5.28 acres the Restoration Foundation purchased from the SSD to Grace United Methodist Church, Inc. As you are aware, the warranty deed you signed contained a first right of refusal clause if the Restoration Foundation were to ever sell or otherwise convey title. I am requesting that you would consider withdrawing this clause in its entirety, as the new church building will be jointly constructed on the subject 5.28 acres and also the adjoining property to the north. When the property was purchased, the leadership of the Restoration Foundation had thoughts that a standalone building would be constructed on this site; however, it will now be incorporated into the church as one building. I attached a floor plan of the proposed addition to the church. Please let me know if you have any thoughts or concerns. We would be more than happy to discuss with you. Secondly, I am requesting you sign a document that will be recorded along with this deed to demonstrate the SSD acknowledgement that the property is being transferred. Would you want us to prepare this document or have the school's attorney draft the document? We would just need to know your intentions on how the language should read. Thanks for all that you do for our community! Craig L. Manatt President/CEO”

Williams signed the quitclaim deed and retained the first right of refusal. This deed between The Restoration Foundation and Grace United Methodist, East End, Inc., still failed to include the language to repurchase the property at the original selling price regardless of improvements made.
This deed was filed July 18, 2018, in the Saline County Courthouse.
Look at the Board Minutes
South Arkansas Reckoning interviewed Williams, Tommy Jones and Manatt for this story.
All three said the transaction occurred years ago. They also said the sale of the property benefited the school district because a daycare now exists on the property to help children and offer parents a place for their children to be safe after school.
Williams, Tommy Jones and Manatt recommended looking at the school board minutes for information about the transaction.
According to the 2023-24 Sheridan School District Board Policy Manual, the school board secretary’s duties shall include: “Being responsible to see that a full and accurate record of the proceedings of the Board are permanently kept and shall; (a.) Record in the minutes, the members present, by name, at the meeting including the time of any member’s late arrival to, or early departure from, a meeting; (b.) Record the outcome of all votes taken including the time at which the vote is taken.”
The bottom of Page 9, which concerns the Duties of the Secretary, shows this policy was adopted Sept. 12, 2017, and last revised Dec. 12, 2022.
Lisenbey was the secretary in 2017. When asked about the land transaction, “It’s just part of the land on the other side of the creek we didn’t have to have. I don’t know. I can’t remember that … it wasn’t going to be buildable for us. That’s been many nights of sleep ago.”
Jody Spann has served on the school board since the late ‘90s. When asked on Aug. 31 in a phone interview, Spann said, “I will just have to go back to the minutes of our meeting. I’m right in the middle of a meeting right now so I just have to go back to the records from the school from 2016. I will have to get back with you at another time.”
Still waiting.
South Arkansas Reckoning is a reader-supported publication. To receive new posts and support our work, consider becoming a free or paid subscriber.