Ann Massey sat in front of her laptop, watching a Zoom hearing that would allow her husband's murderer to be discharged from the Arkansas State Hospital for a less secure facility.
The hearing lasted nearly two hours.
The man – Philip Reynolds – was charged with the capitol murder of Patrick Massey, who was shot nine times, mutilated and set on fire in the 2019 slaying in the Lazy Bend community of Grant County.
Reynolds, who graduated from the University of Arkansas and a former criminal defense attorney in Texas with a law degree from Southern Methodist University, was acquitted due to lack of criminal responsibility on May 7, 2024, by the 7th Judicial Circuit Court of Arkansas in Grant County.
That ruling meant Reynolds, who has been diagnosed with a delusional disorder, would not face a jury. Instead, he was given the possibility of returning to society one day under an Arkansas law.
For Massey, the hearing was the day she had been dreading since Reynolds' acquittal. Her fear that he would be released to a less secure facility than the Arkansas State Hospital and given day and weekend passes could become reality soon.
The hearing also created a tidal wave of emotions for Massey, having to relive that horrific March day in 2019.
"During the hearing, when Reynolds appeared on the screen, when I saw him, he looked angry to me - not like someone who had made progress in treatment, but like someone harboring the same rage that led to such violence before," Massey told the Reckoning.
Ultimately, Pulaski County Circuit Judge Hugh Finklestein denied Reynolds' request to move to the Destiny House at the Centers for Youth and Families in Little Rock. Reynolds will remain in the state hospital. For now.
However, he can seek another release hearing in 180 days – every six months.
"When the decision came to keep him confined, the relief was overwhelming but temporary," Ann Massey said. "The knowledge that we'll have to relive this trauma again in six months, that we'll never truly have closure as long as Act 911 remains unchanged, weighs heavily on me. As I prepare to welcome my first grandchild next month, I shouldn't have to worry that the man who murdered my husband might soon be able to harm others."
The Arkansas Legislature's silence
Meanwhile, the 2025 Arkansas Legislative session is in full swing with only about two weeks to go.
A hodge podge of actions are moving in and out of the House and Senate chambers daily. Many are focused solely on simple adjustments while other bills propose radical changes to current law.
The legislature, which has been in session since January, has made no attempt to change Act 911, also known as Arkansas Conditional Release Program, that could halt the legal process that Reynolds used for his acquittal.
Act 911 allowed Reynolds, who was charged with capital murder for Patrick Massey's death and four other felony charges including shooting a neighbor in the leg and firing at law enforcement, to be evaluated by a doctor not a jury for criminal responsibility after finally being deemed fit to proceed after four years of back-and-forth hearings.
Even before Reynolds' multiple evaluations, it seems he was laying the groundwork for a defense to avoid the death penalty. Under the Freedom of Information Act, the Reckoning obtained from Grant County Prosecuting Attorney Teresa Howell phone recordings of Reynolds when he was incarcerated at the Ouachita County Jail.
According to the Encyclopedia of Arkansas, Act 911 "established a program for evaluating, committing, and conditionally releasing individuals acquitted of crimes due to mental disease or defect."
Under Act 911, the defense can raise lack of criminal responsibility in a case. That starts the process of Act 911 suspending a trial until a hearing is held to determine criminal responsibility.
If the lack of criminal responsibility is proven, the defendant, like in this case Reynolds, can avoid a jury trial and ultimately prison with the chance of a life back in society after five years of stipulations including medication compliance monitoring, therapy and drug testing.
The legislator who created Act 911
In 1989, state Rep. Robert "Bob" Fairchild of Fayetteville, a conservative Democrat, introduced the bill that would become Act 911.
At the time, numerous states sought ways to allow people institutionalized in state mental hospitals to begin a path to re-enter society through community-based care as a way to be more compassionate toward the mentally ill.
That trend began under President Jimmy Carter who signed the Mental Health Systems Act of 1980.
Fairchild's bill was signed into law by then-Gov. Bill Clinton in 1989.
In 1994, Fairchild ran for lieutenant governor against Grant County native Charlie Cole Chaffin in the Democratic primary. Chaffin won 52.4% to 47.6%. Chaffin ultimately lost to Mike Huckabee in the General election.
Fairchild, a retired Army lieutenant colonel, showed back up on the public's radar in 1997 when he was arrested and later found guilty in 1998 by a federal jury in Florida "of trying to broker 35 Canadian military helicopters to America’s No. 1 enemy, Iraq," according to a December 1998 article in the South Florida Sun Sentinel.
The article stated Fairchild pled not guilty to the charges.
The choppers, according to a UPI article, were vintage 34 OH 58A Vietnam helicopters.
Several other men were also involved in the scheme, and the helicopters, according to numerous newspaper articles published at the time, were equipped for chemical warfare.
The Washington Post reported: "The Americans, both former U.S. military officers, were duped into acting as brokers in a hoax 'deal' set up by U.S. Customs that they believed would result in the sale of 34 OH-58A Bell helicopters to Iraq."
It's unclear where Fairchild now lives or if he is still alive.
However, because of him Ann Massey is on a mission.
Ignored by legislators in 2025
Even before the most recent hearing about Reynolds' potential release, Massey was on a steadfast mission to change Act 911.
Last fall, Massey contacted all members of the Arkansas legislature by email.
The email from Massey dated Nov. 13, 2024, asked the legislature to review Act 911.
Here's the email Massey sent legislators.


Only one legislator responded — state Rep. John Rye of Trumann — with a simple thank you.
Massey openly discussed Act 911 with her state representative, Julie Mayberry of Hensley, on Aug. 31, 2024, during a Get-Out-The-Vote event on Sheridan's courthouse square.
She talked to state Sen. Alan Clark of Lonsdale at Grant County's Timberfest last October.
Arkansas legislators have not responded to her plea for help.
"It makes me mad," Massey told the Reckoning. "I feel that there is a real problem with the current laws they have in place and will not address the issues."
In the many weeks of the General Session, no bill has been filed to correct or amend the law that allowed Reynolds to avoid prosecution.
However, there are bills like SB375 that would create a capital rape offense and amend a portion of Arkansas code that resulted from initiated Act 3 of 1936. According to the Arkansas legislature website, SB375 is now going through the motions in the House of Representatives.
However, because of the process to determine criminal responsibility in Act 911, SB375 may be nothing more than words on paper for perpetrators armed with effective criminal defense attorneys and public defenders given the 2024 precedent set by the Grant County Circuit Court in the Reynolds case.
For example, Reynolds was denied release on March 26. However, he can reapply and have another hearing in 180 days. If he is rehabilitated enough, his doctors could persuade a judge to release him.
Rapists, too, could be released if Act 911 isn't changed.
Numerous studies report that men convicted of rape or other sexual offenses – like pedophilia – have a much higher-than-average rate of serious mental illness and history of psychiatric hospitalization.
As the Reckoning reported previously, Reynolds discussed the possibility of the 911 program as early as January 2022 with psychiatrists at the Arkansas State Hospital. That information was reported to the Court in a “Fitness to Proceed Report,” the Reckoning obtained under the Freedom of Information Act.
Reynolds is far from the only person who has used Act 911, according to an examination of numerous court cases.
Massey wants the law changed so other Arkansas families who have lost loved ones to murder won't have to live in fear of one day realizing the murderer is free. The same process could usurp convictions of other capital offenses if legislators fail to remedy these processes in current Arkansas law.
“The potential release of Philip Reynolds is a devastating blow to justice and public safety," Ann Massey said. "This is a man who brutally murdered my husband Patrick in a calculated attack and nearly cost Jerry Mauldin his life when he shot him as Jerry was desperately trying to flee to save his own life. Even more alarming, his recent HCR-20 violence risk assessment indicated a high likelihood of future violence with high risk of physical harm to others. What's most concerning is that reports show he remains delusional even while heavily medicated. This was his second violent offense acquittal, demonstrating a pattern that our justice system has repeatedly failed to address. There's no reason to believe he will follow the conditions set for him when he's shown a lifetime pattern of disregarding rules. My family has had to privately fund our own protection through trying to seek a restraining order and legal counsel, while the state prepares to release the person who devastated our lives and the lives of others. Arkansas families deserve better protection than what Act 911 of 1989 currently provides."
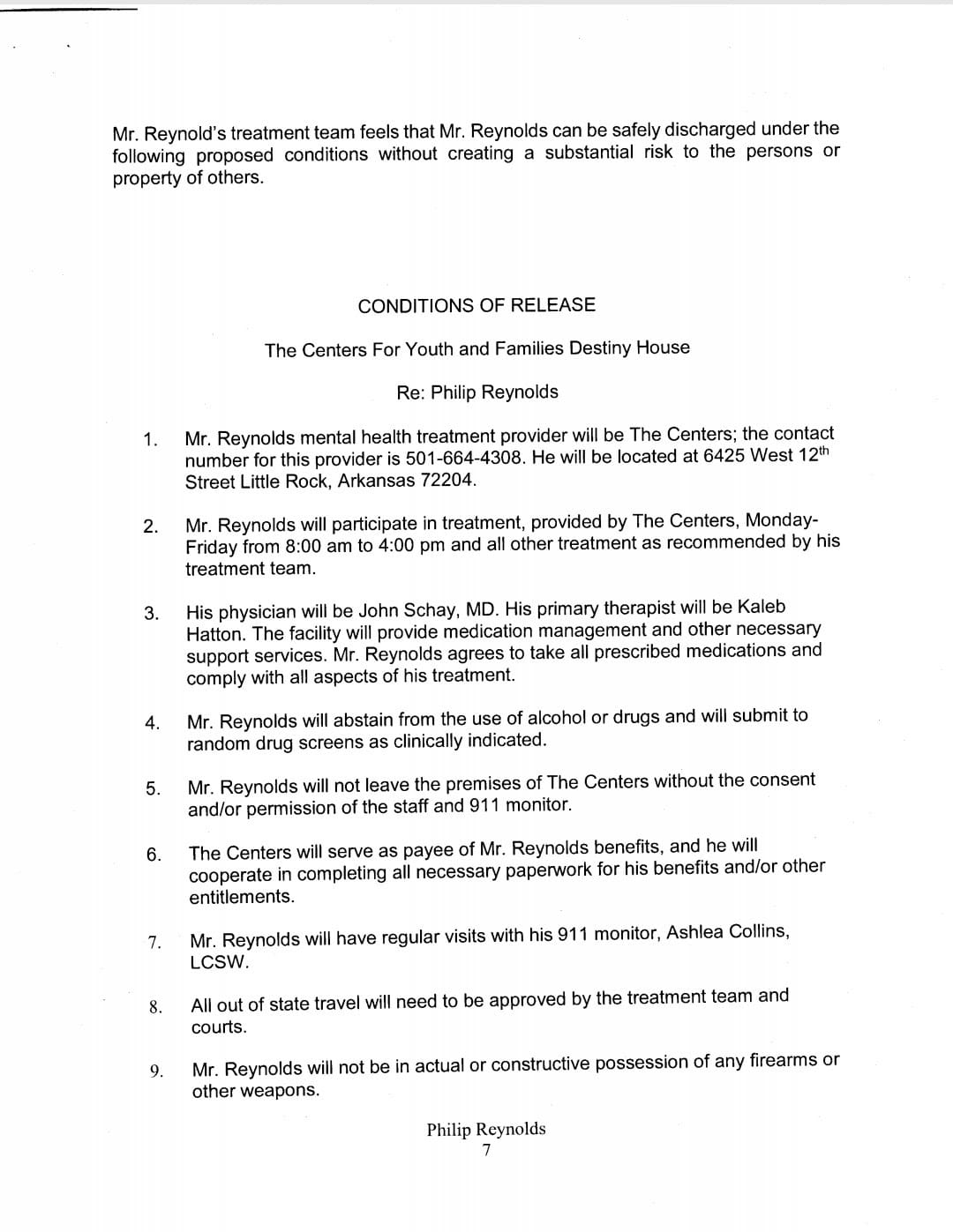
Reynolds' release request from the state hospital included “Conditions of Release."

"Despite sending a detailed letter to Arkansas legislators in November about these critical issues with Act 911, I have yet to receive any response,” Massey told the Reckoning. “The legislature's silence on this matter is deafening and unacceptable. Our elected officials have a duty to address serious flaws in our justice system, especially when those flaws allow violent criminals to escape accountability and put Arkansas families at risk. This case isn't just a tragedy for my family — it exposes dangerous gaps in our laws that demand immediate legislative attention. I call on every member of the Arkansas Legislature to examine this case carefully and prioritize these reforms in this session. Public safety must take precedence over political considerations, and inaction is not an option when lives are at stake.”
Like Massey, the Reckoning has discussed the Massey case and Act 911 with legislators.
To date, legislators remain silent.