Land is a hot commodity in rural schools, especially in the Sheridan School District.
During 2016 and 2017 Sheridan's Yellowjacket Nation or #YJNation – as the district is known – was rocking.
A millage finally passed in September 2016 after previous attempts failed.
The new millions put the district into full-blown construction mode and a buying-and-selling frame of mind.
South Arkansas Reckoning previously pieced together a timeline of the first land deal.
In that story we provided the document trail that led to the sale of a 5.28 acre piece of public school property on US 167 highway for roughly $58,000 in the shadow of the land connected to the infamous Whitewater scandal during the Clinton Administration.
The Second Land Deal
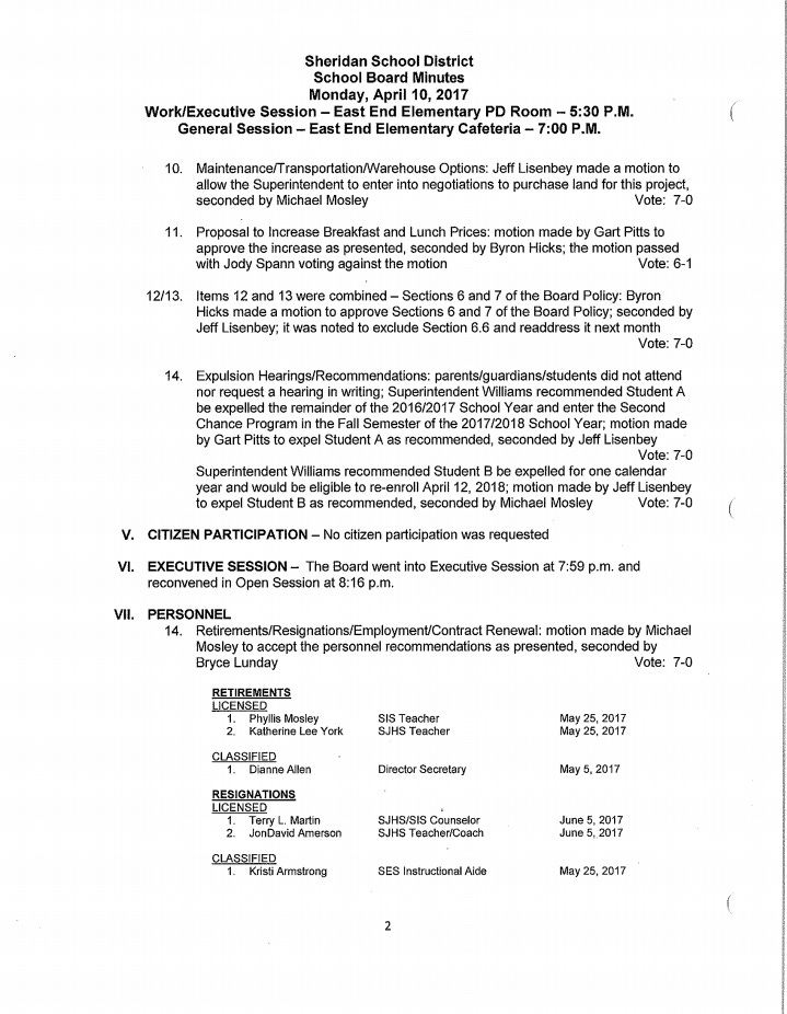
Following the school board minutes, as vague as they are, we discovered that after the sale of the 5.28-acre property in Saline County’s East End for a little over $10k per acre, the Sheridan School District had located another piece of prime real estate on US 167 in Grant County.
That property is on the north end of Sheridan at the intersection of the US 167 highway and the newly built bypass, recently named for Madison Murphy of El Dorado, around the west side of town.
This land deal is of particular interest because of the handling of the transaction.
According to April 2017 school board minutes, the board voted to authorize then Superintendent Jerrod Williams, who is now superintendent at the Cleveland County School District, to enter into negotiations on behalf of the district on the 11.976 acre piece of real estate, which is now the school district’s bus shop.

What makes this transaction interesting?
After entering negotiations with property owner Danny Myers, Williams executed the $329,340 transaction before getting board approval.

Through the Arkansas Freedom of Information Act, we obtained emails that indicate Williams lacked proper board authorization at the time of the transaction.

How Williams executed this transaction without board authorization in a public setting is unclear.
In the next month’s — July 2017 — regular school board meeting, the school board authorized the purchase of the property.

2019: The Deals Didn't Stop
The US 167 property was – and still is – in high demand, and Williams and the board swung another deal.
According to documents, Williams peeled off three acres from the 11.976 acre property purchased in 2017 from Myers and negotiated a sale to AF Partners LLC who owned the Big Red chain of convenience stores. (AF Partners recently sold to Circle K.)
But according to documents released, the school board was, in fact, involved in the closing with AF Partners LLC.

Of course, those emails indicate the board communicated outside the view of the public, but who cares about procedures when the school is making money.

This transaction would turn the original $329,340, or $27,500 per acre, purchase for 11.976 acres of land in 2017 into a real money maker for the school.
In this transaction executed on January 21, 2020, AF Partners LLC purchased the three acres for $350,000 or $116,666.66 per acre. That’s a pretty good deal for the school district and for Sheridan’s property values.
The Sheridan School District never wastes the chance to pretty up projects and spend more money. At the bus shop, they even spent more tax dollars painting white parking lines on gravel.
South Arkansas Reckoning has a motto when it comes to government: Follow the money. You never know what you’ll find. In the case of Arkansas school districts, we are finding that nothing is impossible.
With mutual termination agreements, land deals and rental houses, every day is an adventure following your tax dollars.