Do you watch the Reckoning's livestreams of the Sheridan School Board from the Reckoning and wonder what they board really votes on?
I attend the meetings, livestream them and follow the agenda. Often, I'm lost concerning what was voted on especially when the board votes for the "Department Reports" in one swoop. The reports are seldom read aloud.
The board knows the information because it's in their board packets.
Some Arkansas school boards discuss every line on agendas. The Sheridan School Board does not.
The board packets, however, are public. I obtained the January one through a Freedom of Information request.
Here is the agenda.



Let's look at the Consent Agenda starting with legal transfers. Three students transferred to the Poyen School District.

The enrollment report shows that the district has lost 124 students. The January 2025 report showed the district with 4,095 students. This latest report has 3,971 students. Comparatively, in the 2022-23 year, the district had 4,246 students.

Next up, the nurse's report. I could not find a nurse's report in the information received.
Trainings and more
Each school board member must receive yearly training from the Arkansas School Board Association.
Sheridan School Board President Jeff Lisenbey is the past president of the Arkansas School Board Association.
The training hours for each board member are below.

The district's financial report is a complicated 48-page document with many expenditures as expected in a school district. (I will analyze that report for another article.)
The 22-page bond report centers on the renewal of bonds to fund capital improvements.
The policy update states: "We are recommending the addition of a critical need stipend to the classified salary schedule. This stipend is currently in place on the certified salary schedule. This stipend
allows the Superintendent the ability to offer an additional incentive to critical need
positions such as bus drivers, paraprofessionals, nurses, etc...and would allow us to offer
recruitment/retention stipends should the need arise. This proposal has been vetted with our classified PPC committee. They have voted to approve this proposal to the board."
See below for more about the stipends.


Next on the agenda? School Bus purchases.
The board did discuss this issue in its public meeting. The report submitted is 30 pages with details, descriptions and drawings concerning new buses. Here's a memo about the need for two new buses.

While Lisenbey mentioned resignations and retirements in the meeting, he didn't offer names. You can see those under personnel in the agenda at the top of this story.
The Department Reports
The Department Reports are seldom discussed in the school board meetings.
Let's look at the 7-page K-12 report by Alisa Gray, director of Leadership and School Support, which highlights impressive student achievements.


And more student achievements.



Why doesn't the school board show these photos at its meetings and give a shout out to students?
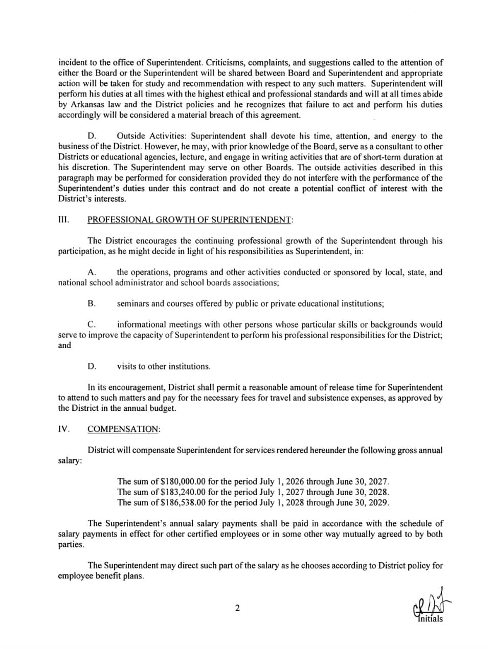
Superintendent's Contract
The board also voted in January to extend Superintendent Chad Pitts' contract for three years.
Pitts' compensation is:
- The sum of $180,00.00 for the period July 1, 2026 through June 30, 2027.
- The sum of $183,240.00 for the period July 1, 2027 through June 30, 2028
- The sum of $186,538.00 for the period July 1, 2028 through June 30, 2029
Pitts receives other benefits including a vehicle for his professional and personal
use. (Most superintendents in Arkansas schools receive a similar benefit.)
The contract reads: "The District will be responsible for all expenses related to the use of the vehicle, including minimum limits insurance, fuel, maintenance, etc. The vehicle will remain the property of the District upon termination of the Superintendent's contract."





Other agenda items
Andy Mayberry, the school's communications director, reported that the school received four FOIA requests in December. He also gave the board the district's social media metrics.

On the Special Education front, Kelly Alexander reported the following:

Gifted and Talented students and teachers excelled, too.

Transportation update
The district still needs bus drivers, according to Dennis Emerson, director of Administration Services Transportation. Several positions were open in January.

Here's the maintenance report:

Although an Athletics report was lon the agenda, the Reckoning did not receive it in the board packet.
Here's the Counseling and Wellness report:

The technology report shows that the district is experiencing door access concerns and "issues with front doors" at Sheridan High School and Sheridan Elementary School.
Vaping became a major issue in the district last summer. The district is now testing a vape detection system at Sheridan High School.

The Reckoning could not find a report on child nutrition in the packet although it was on the agenda.
The Reckoning will continue to report on the Sheridan School District and follow up on several of the issues in January's board packet.
The next Sheridan school board meeting is Monday, Feb. 9 at 7 p.m. in the Board Room of McKenzie Hall.